To calculate result you have to disable your ad blocker first.
Calculadora de limites
Insira a função e outros valores nas caixas de entrada fornecidas. Clique no botão Calcular para avaliar o limite usando a calculadora de limites.
Table of Contents:
A calculadora de limite é usada para avaliar as funções de limite em relação a uma variável especificada. A variável pode ser x, y ou z. A calculadora de limite resolve os limites com etapas e mostra cada fase do cálculo.
Abaixo, você encontrará a definição dos limites, como calculá-los sem usar o localizador de limites, a fórmula dos limites e alguns exemplos para entender os limites.
Quais são os limites?
A ideia de um limite de função é vital para o estudo do cálculo. É usado para descrever algumas das teorias significativas do cálculo, como integral definida de uma função, derivada de uma função e continuidade.
O limite de uma função f (x) define o comportamento da função próximo a um valor x específico . Não fornece essencialmente o valor da função em x.
limx→c f(x)= L−−
O solucionador de limite acima pode avaliar os limites da mão direita e da mão esquerda.
Fórmulas de limites - regras de limites
Abaixo, fornecemos leis de limites.
Notação de limite
limx→c f(x)= L−−
Limite da mão esquerda

Limite do lado direito

Limites das funções trigonométricas

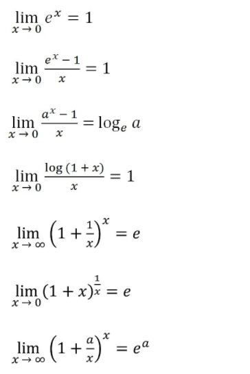
Limites de registros e funções exponenciais

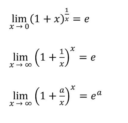
Limites da forma 1 ∞

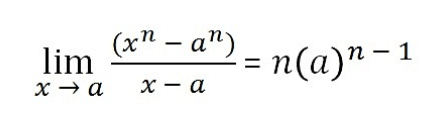
Limites de x^n

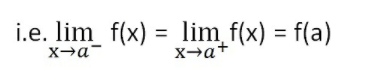
Verificando se existe limite
Para verificar se existe limite para f (x) em x = a, verificamos se,
Limite da mão esquerda = limite da mão direita = f ( a)

Regra do hospital

Onde,
f ( a) = 0
g ( a) = 0
Então,

Limita regra de soma

Limita a regra do produto

Limita a regra de quociente

Limita a regra de potência

Regra constante de limites
O limite de uma função constante é igual a uma constante.
Como avaliar limites?
O avaliador de limite é projetado especificamente para fins de avaliação de limites. Mas, vamos explicar o método manual para avaliar os limites. O exemplo abaixo ilustra o método do manual com etapas.
Exemplo :
Evluir :
limx→c f(x)= L−−
Solução:
Etapa 1: anote o valor.
limx→2 (x3+2x2−5x+2)
Etapa 2: aplique a função de limite a cada elemento.
limx→2 (x3+2x2−5x+2)
Etapa 3: Retire os coeficientes da função de limite.
limx→2(x3)+ limx→2(2x2)− limx→2(5x) + limx→2(2)−−
Etapa 4: aplique o limite colocando x -> 2 na equação. = 1 (2 ^ 3 ) + 2 (2 ^ 2) -5 (2) +2
= 8 + 8-10 + 2
= 8
então,
1 limx→2(x3)+ 2 limx→2(x2)− 5 limx→2(x)+ limx→2(x)+ 2−−
Você pode usar a calculadora de regras de l'hopital acima para verificar a resposta de qualquer função de limite.
Aqui está o gráfico traçado para a função acima.
